Shillong, April 12: A study by researchers from Mizoram University and collaborating institutions has flagged alarming levels of climate vulnerability among smallholder farmers in Meghalaya’s Jaintia Hills, linking rising temperatures and weak adaptive capacity to declining agricultural productivity and rural distress.
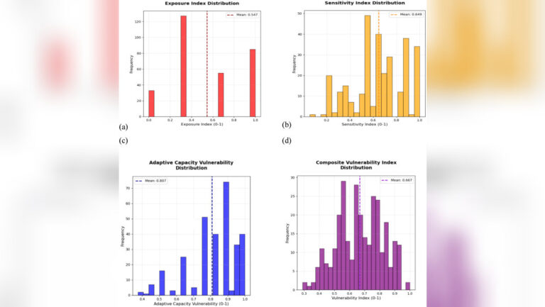
The study, led by Keshav Kumar Upadhyay along with Augustine Bareh, Khoisnam Vramari Devi, Lamginsang Thomte, Rajdeep Chanda, Salam Suresh Singh, Ramtharmawi, Mamta Joshi, David C. Vanlalfakawma, and Shri Kant Tripathi, assessed 300 farming households across 12 villages and found that nearly two-thirds of respondents fall under high to very high vulnerability categories, with a mean vulnerability index of 0.667.

Analysing climate data over seven decades, the researchers observed a clear warming trend, particularly during the monsoon and post-monsoon seasons, with both maximum and minimum temperatures showing a steady rise. While rainfall trends were not statistically significant, variability has increased, contributing to frequent droughts and unstable farming conditions.
These climatic shifts are already being felt on the ground, with farmers reporting declining yields of key crops such as rice, maize, and horticultural produce. Nearly all respondents indicated experiencing crop losses, with more than 40% stating that such losses occur frequently, directly impacting household incomes and food security.
The study identifies low adaptive capacity as the most critical factor driving vulnerability in the region. None of the surveyed farmers had access to crop insurance, only 18% reported access to credit, and no respondents had received training in climate-smart agriculture. Additionally, about 67% of farmers depend entirely on rainfed agriculture, making them highly susceptible to erratic weather patterns.
Structural challenges further compound the crisis, with small landholdings averaging just 0.18 acres and a high proportion of illiteracy limiting access to information and modern farming practices.
The study also found that women farmers are disproportionately affected, facing higher vulnerability due to limited access to land, income, and institutional support.
Importantly, the analysis highlights rising temperature as the primary driver of vulnerability, strongly linked to increased drought frequency, crop loss, and income decline. The researchers found a near-direct relationship between crop loss frequency and yield reduction, underscoring the immediate impact of climate stress on agriculture in the region.

Calling for urgent intervention, the authors recommend promoting heat-tolerant crop varieties, improving water management through irrigation and rainwater harvesting, expanding access to credit and weather-based insurance, and strengthening extension services with localised climate advisories. They also emphasise the need for gender-inclusive policies to support women farmers and improve overall resilience.
The findings highlight a growing concern for Meghalaya, where agriculture remains a primary livelihood for rural communities, and underscore the urgent need for targeted policies and grassroots interventions to address the escalating impacts of climate change in hill farming systems.



